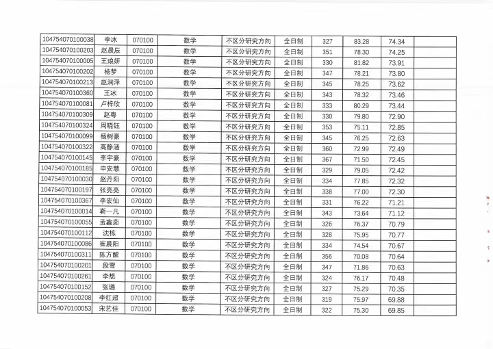
spbo即时比分手机 2024年硕士研究生复试成绩登记册
上一条:spbo即时比分手机 2024年硕士研究生招生调剂公告 下一条:spbo即时比分手机 2024年博士研究生招生(第二轮)工作实施细则
【关闭】